Tìm tài liệu

Thi thu DH 2011

Thi thử ĐH 2011

Upload bởi: sysy319

Mã tài liệu: 407426

Số trang: 6

Định dạng: doc

Dung lượng file: 317 Kb

Chuyên mục: Hướng nghiệp Lớp 11

Info

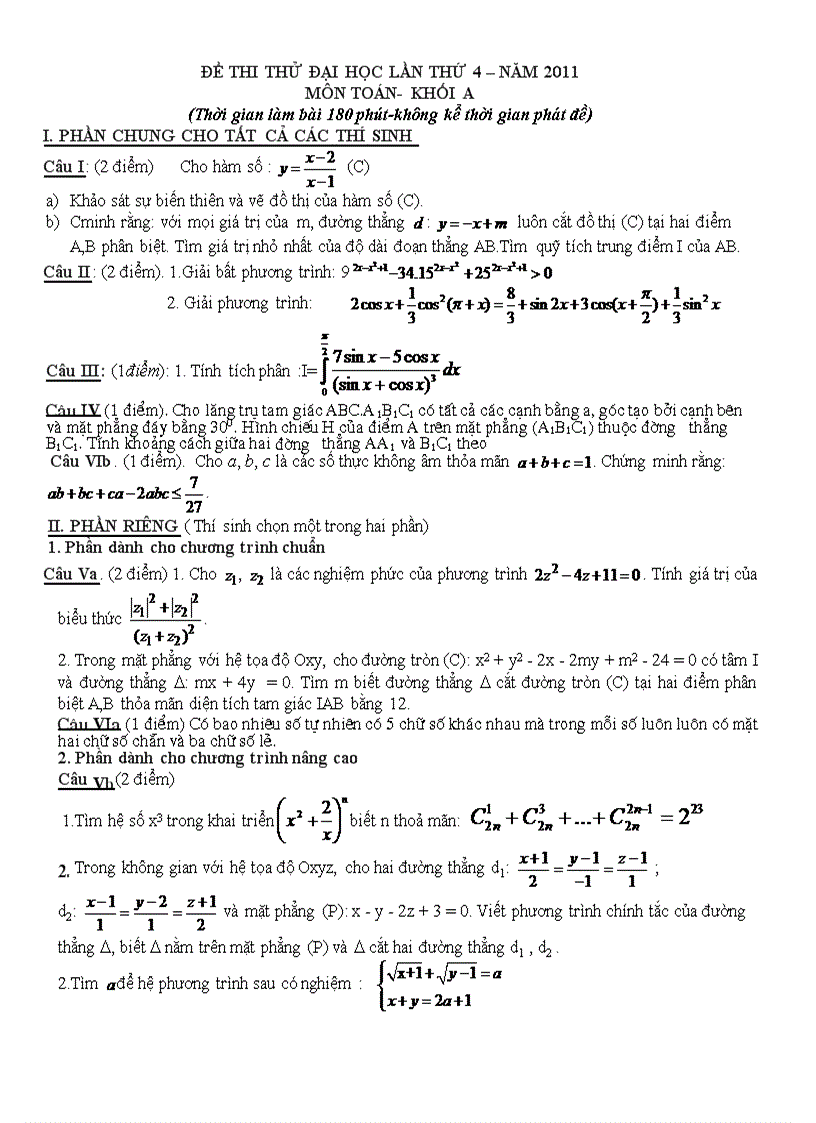
ĐỀ THI THỬ ĐẠI HỌC LẦN THỨ 4 – NĂM 2011MÔN TOÁN- KHỐI A(Thời gian làm bài 180 phút-không kể thời gian phát đề) I. PHẦN CHUNG CHO TẤT CẢ CÁC THÍ SINH Câu I: (2 điểm) Cho hàm số :  (C)Khảo sát sự biến thiên và vẽ đồ thị của hàm số (C).Cminh rằng: với mọi giá trị của m, đường thẳng :  luôn cắt đồ thị (C) tại hai điểm A,B phân biệt. Tìm giá trị nhỏ nhất của độ dài đoạn thẳng AB.Tìm quỹ tích trung điểm I của AB. Câu II: (2 điểm). 1.Giải bất phương trình: 9 2. Giải phương trình: Câu III: (1điểm): 1. Tính tích phân :I= Câu IV (1 điểm). Cho lăng trụ tam giác ABC.A1B1C1 có tất cả các cạnh bằng a, góc tạo bởi cạnh bên và mặt phẳng đáy bằng 300. Hình chiếu H của điểm A trên mặt phẳng (A1B1C1) thuộc đường thẳng B1C1. Tính khoảng...

Phần bên dưới chỉ hiển thị một số trang ngẫu nhiên trong tài liệu. Bạn tải về để xem được bản đầy đủ

  • Thi thử ĐH 2011
  • Đang tải dữ liệu ...
  • Đang tải dữ liệu ...
  • Đang tải dữ liệu ...
  • Đang tải dữ liệu ...
  • Đang tải dữ liệu ...
  • Thi thử ĐH 2011
  • Thi thử ĐH 2011
  • Thi thử ĐH 2011
  • Thi thử ĐH 2011
  • Thi thử ĐH 2011
  • Thi thử ĐH 2011

GỢI Ý

Những tài liệu gần giống với tài liệu bạn đang xem

Điểm thi tốt nghiệp 2011 Trường THPT Đại An

Upload: casierlove

📎
👁 Lượt xem: 260
Lượt tải: 3

Nghề nấu ăn 2011

Upload: junny2188

📎 Số trang: 71
👁 Lượt xem: 706
Lượt tải: 20

Hồ sơ tuyển sinh 10 2010 2011

Upload: blueocean372

📎
👁 Lượt xem: 199
Lượt tải: 5

Danh sách học sinh TN THCS 2011

Upload: doxuanhunghh

📎
👁 Lượt xem: 183
Lượt tải: 11

Danh sach 12 11 2010 2011

Upload: oleander84

📎
👁 Lượt xem: 263
Lượt tải: 8

Danh sách học sinh 6 2010 2011

Upload: lienthanh792006

📎
👁 Lượt xem: 215
Lượt tải: 11

Giáo an hướng nghiệp 11 ha cnghe 2011 2012

Upload: hoale

📎 Số trang: 21
👁 Lượt xem: 318
Lượt tải: 12

Danh sach hoc sinh 7 8 9 2010 2011

Upload: xuansinh_tkhd

📎 Số trang: 9
👁 Lượt xem: 296
Lượt tải: 3

Phiếu kê khai giờ trội năm 2011 2012

Upload: eveneven0001

📎
👁 Lượt xem: 302
Lượt tải: 7

Danh sach hoc sinh lop 10 2010 2011

Upload: suatuoi

📎
👁 Lượt xem: 194
Lượt tải: 10

Danh sách chứng nhận tốt nghiệp THCS 2011

Upload: sicilics

📎
👁 Lượt xem: 209
Lượt tải: 13

Khuếch đại thi tần

Upload: thanh_tron

📎 Số trang: 2
👁 Lượt xem: 303
Lượt tải: 12

QUAN TÂM

Những tài liệu bạn đã xem

Thi thử ĐH 2011

Upload: sysy319

📎 Số trang: 6
👁 Lượt xem: 263
Lượt tải: 13

Phuong phap giai nhanh bang phuong trinh ion ...

Upload: nguyennghiakts

📎 Số trang: 9
👁 Lượt xem: 269
Lượt tải: 9

Thực trạng lập quy hoạch và quản lý đô thị ...

Upload: hungcnpmk44

📎 Số trang: 7
👁 Lượt xem: 493
Lượt tải: 17

Vật lí đại cương các nguyên lí và ứng dụng 3 ...

Upload: trinhvuvn

📎 Số trang: 420
👁 Lượt xem: 488
Lượt tải: 16

Lãi suất trần cho vay Kinh nghiệm nước ngoài ...

Upload: ptthanh1986

📎 Số trang: 13
👁 Lượt xem: 275
Lượt tải: 16

Mã hoá, cấu trúc dữ liệu và truyền tin trong ...

Upload: huynhbode

📎 Số trang: 97
👁 Lượt xem: 1095
Lượt tải: 17

CHUYÊN MỤC

Giáo dục hướng nghiệp Hướng nghiệp Lớp 11
Thi thử ĐH 2011 ĐỀ THI THỬ ĐẠI HỌC LẦN THỨ 4 – NĂM 2011MÔN TOÁN- KHỐI A(Thời gian làm bài 180 phút-không kể thời gian phát đề) I. PHẦN CHUNG CHO TẤT CẢ CÁC THÍ SINH Câu I: (2 điểm) Cho hàm số :  (C)Khảo sát sự biến thiên và vẽ đồ thị của hàm số (C).Cminh rằng: với doc Đăng bởi
5 stars - 407426 reviews
Thông tin tài liệu 6 trang Đăng bởi: sysy319 - 16/11/2026 Ngôn ngữ: Việt nam, English
5 stars - "Tài liệu tốt" by , Written on 16/11/2026 Tôi thấy tài liệu này rất chất lượng, đã giúp ích cho tôi rất nhiều. Chia sẻ thông tin với tôi nếu bạn quan tâm đến tài liệu: Thi thử ĐH 2011