Tìm tài liệu

Trac nhiem toan 10

Trắc nhiệm toán 10

Upload bởi: thiencongcuong

Mã tài liệu: 426336

Số trang: 3

Định dạng: doc

Dung lượng file: 243 Kb

Chuyên mục: Mẫu giáo, Mầm non

Info

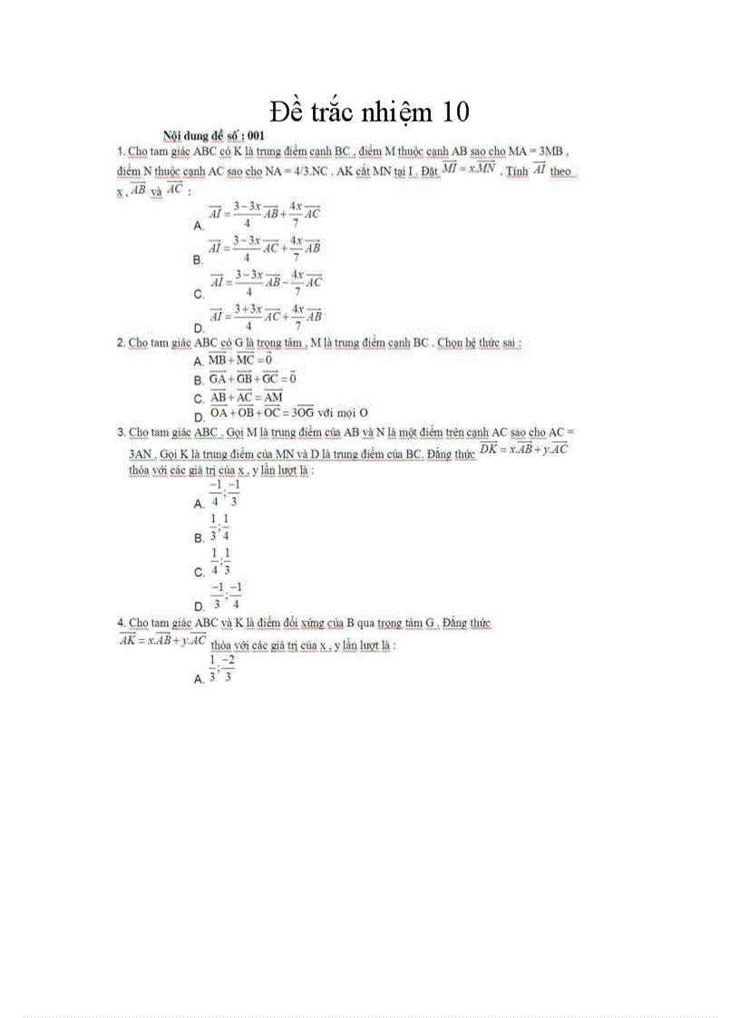
Đề 10 ĐÁP ÁN : 1A - 2C - 3A - 4B - 5C - 6A - 7C - 8C - 9C - 10A TƯƠNG ỨNG với đề 2 là : 9C - 7B - 3C - 4A - 5D - 1D - 8B - 2D - 6C - 10C Lưu ý : Đề 2 có các câu khác Đề 1 là : 9(C) - 5(D) - 10(C)...

Phần bên dưới chỉ hiển thị một số trang ngẫu nhiên trong tài liệu. Bạn tải về để xem được bản đầy đủ

  • Trắc nhiệm toán 10
  • Đang tải dữ liệu ...
  • Đang tải dữ liệu ...
  • Trắc nhiệm toán 10
  • Trắc nhiệm toán 10
  • Trắc nhiệm toán 10

GỢI Ý

Những tài liệu gần giống với tài liệu bạn đang xem

Hướng dẫn nhiệm vụ năm hoc 10 11 về CNTT

Upload: whisky_hd

📎 Số trang: 5
👁 Lượt xem: 346
Lượt tải: 2

Tự chọn Toán 10

Upload: luanva_jp

📎 Số trang: 43
👁 Lượt xem: 230
Lượt tải: 12

Giáo án toán số 10

Upload: nansin2004

📎 Số trang: 4
👁 Lượt xem: 430
Lượt tải: 9

Trac nghiem TA9 unit 10

Upload: ngocthuy7903

📎 Số trang: 2
👁 Lượt xem: 224
Lượt tải: 13

Đề cương Toán 10 CB

Upload: trungntbr

📎 Số trang: 7
👁 Lượt xem: 178
Lượt tải: 14

Toán lớp 1 Số 10

Upload: nguoicodon2992001

📎
👁 Lượt xem: 262
Lượt tải: 11

Giáo án bám sát toán 10

Upload: blimp_1822000

📎 Số trang: 13
👁 Lượt xem: 191
Lượt tải: 12

Đề cương ôn tập HKI toán 10

Upload: helivn91

📎 Số trang: 7
👁 Lượt xem: 201
Lượt tải: 14

Tuần 10 toán số lượng 6

Upload: binbop1031

📎 Số trang: 3
👁 Lượt xem: 214
Lượt tải: 12

Bài giảng toán Lớp 1 Số 10

Upload: boy_langtu19872001

📎
👁 Lượt xem: 313
Lượt tải: 8

Bài tập trắc nghiệm toàn tập đa

Upload: xuantranle88

📎 Số trang: 69
👁 Lượt xem: 223
Lượt tải: 10

Vận dụng KT đánh giá bằng trắc nghiệm vào ...

Upload: dungninhphuc

📎 Số trang: 4
👁 Lượt xem: 139
Lượt tải: 5

QUAN TÂM

Những tài liệu bạn đã xem

Trắc nhiệm toán 10

Upload: thiencongcuong

📎 Số trang: 3
👁 Lượt xem: 174
Lượt tải: 12

CHUYÊN MỤC

Mẫu giáo, Mầm non
Trắc nhiệm toán 10 Đề 10 ĐÁP ÁN : 1A - 2C - 3A - 4B - 5C - 6A - 7C - 8C - 9C - 10A TƯƠNG ỨNG với đề 2 là : 9C - 7B - 3C - 4A - 5D - 1D - 8B - 2D - 6C - 10C Lưu ý : Đề 2 có các câu khác Đề 1 là : 9(C) - 5(D) - 10(C)... doc Đăng bởi
5 stars - 426336 reviews
Thông tin tài liệu 3 trang Đăng bởi: thiencongcuong - 18/10/2026 Ngôn ngữ: Việt nam, English
5 stars - "Tài liệu tốt" by , Written on 18/10/2026 Tôi thấy tài liệu này rất chất lượng, đã giúp ích cho tôi rất nhiều. Chia sẻ thông tin với tôi nếu bạn quan tâm đến tài liệu: Trắc nhiệm toán 10